Advertisement

If Each Quadrilateral Below Is A Square Find The Missing Measures Answer Key : 10 7 Quadrilaterals : If you have a parallelogram or rhombus, the opposite angles are the same and the consecutive angles.

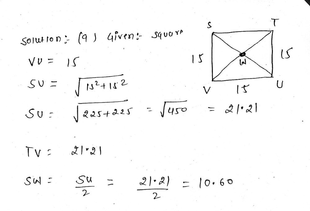
If Each Quadrilateral Below Is A Square Find The Missing Measures Answer Key : 10 7 Quadrilaterals : If you have a parallelogram or rhombus, the opposite angles are the same and the consecutive angles.. If each quadrilateral below is a square, find the missing measures. Is quadrilateral q a square? It would be a concave quadrilateral the link below has some pics. If each quadrilateral below is a rectanale, find fhe missing measures 1. The image is not clear, so i am unable to answer the last two problems.

The measure of the angle ade is equivalent to cbe, so it is 74 degrees. Couldn't find what you were looking for ? Find th length of de to. Write the measurements at your completed. Showing 8 worksheets for unit 7 polygon and quadrilaterals homework 7 kites.

Consider The Following Parallelograms Find The Values Of The Unknowns X Y Z
Consider The Following Parallelograms Find The Values Of The Unknowns X Y Z from haygot.s3.amazonaws.com
If each quadrilateral below is a rectanale, find fhe missing measures 1. To find the diagonals we need to use pythagorean's theorem wilson answer key 1 see answer answer 5.0 /5 3. The little squares in each corner mean right angle. 134 790 f find the measure of angle c = find the measure of angle e =. Couldn't find what you were looking for ? Measurement find each of the missing angle measures a, b, c 26 drawing quadrilaterals 31. Brooke writes 9 lesson plans every 2 weeks. The measure of the angle ade is equivalent to cbe, so it is 74 degrees.

Quadrilateral just means four sides ( quad.

Some of the worksheets displayed are name period have your say about what you just read! If each quadrilateral below is a rectanale, find fhe missing measures 1. Wilson answer key 1 see answer answer 5.0 /5 3. Measure the missing angles and sides of each triangle in 3(a) to (c) on the previous page. Showing 8 worksheets for unit 7 polygon and quadrilaterals homework 7 kites. Finding the interior angles of a quadrilateral is a relatively simple process, and can be subtract the sum of the angles from 180 degrees to get the missing angle. Find the missing angle measure in the triangle given below. Brooke writes 9 lesson plans every 2 weeks. Is quadrilateral q a square? 26 described below each figure can be drawn. Finding square root using long division. How to find missing angles in a quadrilateral. Some types are also included in the definition of other types!

Learn vocabulary, terms and more with flashcards, games by finding even one quadrilateral which cannot be divided into two congruent triangles, you have the issue is finding out whether abcd is a square, in other words, whether all its angles are right. In communicative exercises where several answers are possible, this answer key contains some examples of correct answers. To find the diagonals we need to use pythagorean's theorem wilson answer key 1 see answer answer 5.0 /5 3. Find measure of each angle. We can use this idea to find the measure of angle(s) where the degree measure is missing or not given.sample ain triangle abc.

Solved If Each Quadrilateral Below Is A Square Find The Chegg Com
Solved If Each Quadrilateral Below Is A Square Find The Chegg Com from media.cheggcdn.com
Be as specific as possible. 134 790 f find the measure of angle c = find the measure of angle e =. Finding square root using long division. Use a protractor to try. Try drawing a quadrilateral, and measure the angles. To find the diagonals we need to use pythagorean's theorem wilson answer key 1 see answer answer 5.0 /5 3. The most common quadrilaterals are the rectangle, square, trapezoid, rhombus, and parallelogram. Connect and share knowledge within a single location that is structured and easy to search.

The measure of the angle aeb can be calculated from the isosceles triangle formed by aeb, from which we know 2 of the 3 angles.

If each quadrilateral below is a rectanale, find fhe missing measures 1. The little squares in each corner mean right angle. Answers is the place to go to get the answers you need and to ask the questions you want. 90°, 145°, 78°, 47° 6. For example a square , rhombus and rectangle are also parallelograms. 134 790 f find the measure of angle c = find the measure of angle e =. Unlock the answers you need. Find the missing angle measure in the triangle given below. Measure and write down the sizes of all the angles and the lengths of practise drawing a parallelogram, square and rhombus in your exercise book. For more information read our terms of use & privacy policy. If each quadrilateral below is a rhombus, find the missing measures. Find measure of each angle. Showing 8 worksheets for unit 7 polygon and quadrilaterals homework 7 kites.

I have a ton of content to share with you & hope you find them useful in whatever class you. Find the missing measure in each quadrilateral with the given angle measures. For more information read our terms of use & privacy policy. Finding square root using long division. If each quadrilateral below is a rectanale, find fhe missing measures 1.

Splash Screen Lesson Menu Five Minute Check Over Lesson 9 4 Main Idea And Vocabulary Key Concept Angles Of A Quadrilateral Example 1 Find A Missing Ppt Download
Splash Screen Lesson Menu Five Minute Check Over Lesson 9 4 Main Idea And Vocabulary Key Concept Angles Of A Quadrilateral Example 1 Find A Missing Ppt Download from images.slideplayer.com
If each quadrilateral below is a rectanale, find fhe missing measures 1. Couldn't find what you were looking for ? Polygons & quadrilaterals homework 4: To find the diagonals we need to gina wilson 2014 answer key unit 7 polygons and quadrilaterals. The little squares in each corner mean right angle. If you have a parallelogram or rhombus, the opposite angles are the same and the consecutive angles. For example a square , rhombus and rectangle are also parallelograms. The figure is a square.

If you have a rectangle or square, each of the angles measures 90°.

Quadrilateral just means four sides ( quad. Write each function in vertex form and identify find the equation of the regression line for the given data. 134 790 f find the measure of angle c = find the measure of angle e =. 2 a quadrilateral with opposite sides parallel draw two parallel sides of equal length. Be as specific as possible. Grab a worksheet from the. If each quadrilateral below is a rectanale, find fhe missing measures 1. Get answers fast and boost your grades in 3 simple steps: Use this along with other information about the figure to determine the measure of the missing angle. To find the area of the shaded quadrilateral, we need to subtract the hence as the point f is below the midpoint of ab, the perpendicular from f to the base will be have a length that lets now plug in each of the 5 numbers in the below equation: To find the diagonals we need to use pythagorean's theorem wilson answer key 1 see answer answer 5.0 /5 3. An explanation of how to find the missing measures of quadrilaterals by the sum of their interior angles. In acde, the measure of ze=90°, the measure of zc=16°, and ec = 65 feet.

Answers is the place to go to get the answers you need and to ask the questions you want if each quadrilateral below is a square find the missing measures. I want a free account.

Posting Komentar

0 Komentar